Is one serving of typical French fries, fried in seed oils, really more toxic than smoking a pack of cigarettes?
Are seed oils the most unhealthy elements of the modern human diet? Or a scapegoat for mere caloric excess (energy toxicity)?
Seed oils are one of the most polarized and contentious areas of nutritional science.
Indeed, digging into the scientific data and the answer becomes even murkier.
Toxic or superfood, I don’t personally have any investment in the true health status of these oils.
Based on the research I’ve read and what should be obvious intuition (when is a non-edible highly chemical substance superior to ancestral tradition?) I completely avoid industrial seed oils.
Regardless, research shows that the half-life of fats is two years [R]. Clean up your choices today, and within half a decade your cells will be mostly made of new materials.
In this post, I’ll break down why you should discard all traces of them from not just your kitchen—but your life. Let’s get started.
(Note: of course, reused French fry oil at McDonald’s is not the same as a raw walnut or other seed.)
What are “Vegetable”/Seed Oils?
Seed oils are a kind of highly-processed fat made predominantly of polyunsaturated fats (PUFAs).
They belong to the broader category of “vegetable” oils and are found everywhere—from the modern diet to varnishes, dyes, cosmetics, and everyday household products.
For decades, nutrition guidelines have advocated replacing stable saturated fats with these industrial omega-3 and omega-6 fats.
What separates seed oils from saturated (and other) fats is their molecular structure. PUFAs contain multiple double bonds in their carbon chains, a minor chemistry details that makes them extremely unstable Share on XNaturally, this causes a profound impact on your overall health.
The biological harms of seed oil starts during manufacturing. Seed oils are heavily refined which strips the oil of beneficial and stabilizing substances (vitamins, antioxidants, nutrients).
Most concerning, however, is what happens after you consume them and they become rancid.
If you’ve taken Organic Chemistry 101, you remember PUFA oxidation generates toxins, which biochemistry shows leads to inflammation.
Perhaps you’re thinking, surely quality control processes protect us from toxin-rich oils. Nope. The toxins exist in minuscule parts per million (PPM) doses.
That sounds insignificant, but they accumulate over time since these oils lack nature’s stabilization substances.
What oils am I referring to?
What are the “Hateful Eight” seed oils?
Dr. Cate Shanahan, a leading researcher on seed oils, coined the term “Hateful 8” to refer to the eight worst oils for your health.
These are the ones high in linoleic acid and most processed that you want to completely avoid.
| Seed Oil 🌱 | % Linoleic Acid 🧬 | Culinary Use 🥘 | Non-culinary application 🛢 |
|---|---|---|---|
| Safflower oil | 70% | Salad dressings, frying, cooking | Skin care products, carrier oil in massage therapy |
| Grapeseed oil | 70% | Sautéing, frying, and salad dressings | Cosmetic products, base in massage oils |
| Sunflower oil | 68% | Cooking, frying, salad oil | Cosmetic products, carrier oil in aromatherapy |
| Corn oil | 54% | Frying, baking, salad dressings | Production of biodiesel & various industrial products |
| Cottonseed oil | 52% | Frying, salad dressings, and snack foods | Soap production, cosmetics |
| Soy or soybean oil | 51% | Frying, baking, ingredient in processed foods | Production of biodiesel, paints, inks |
| Rice bran oil | 33% | Frying, baking, salad oil | Skin care products |
| Canola oil | 19% | Cooking, baking, salad oil | Manufacturing of lubricants, biodiesel, personal care products |
If you do decide to consume them, you should certainly not cook with them, because that generates even more toxins [R].
As you’re about to see, just the factory refining process should be enough to make you think twice about buying them ever again.
How seed oils are made
Unlike expeller-pressed olive oil, industrial seed/vegetable oils go through an extensive factory refining process before making their way into your local supermarket.
Here’s the full process used to manufacture seed oils:
- Seeds get dried to remove moisture
- Then, they’re ground up
- Then steam cooked after
- These oilseeds get pressed to extract the oil
- Chemical solvents like hexane are introduced to extract the oilseed solids
- These solids go into animal feed, and the leftover crude oil is processed into oil
- Steam heating removes the toxic solvents
- Phosphoric acid, sodium hydroxide, bleach, caustic chemicals, and water are added to make the oil more commercially appealing (to sight, smell, taste)
- Filtering the oil removes the bleach
- Additional steaming helps rid unpleasant odor
- Sold to you in stores
To summarize, producers add harsh chemicals to the oil and then heat it to frying temperatures for 30 minutes before bleaching and deodorizing (with more chemicals).
Hexane, just one of the many chemicals used in this process, is fat soluble. Making it virtually impossible to remove from the final product.
Remember that high-temperature frying introduces oxygen, light, heat at the same time—each of which oxidizes oil.
As a result, this processing damages 0.5-1% of the oil. Then, deodorizing removes 50% of the pesticides.
Finally, these unstable oils sit in plastic containers for long periods of time. All the while, that plastic leaches into the very oil you consume.
As one 2022 study summarizes (emphasis mine),
“One of the main disadvantages [of refining seed oils] is the loss of substances responsible for healthy, pharmaceutical properties and technological interest in the oils, such as tocopherols, phospholipids, squalene, polyphenols, and phytosterol. Another notable disadvantage of refining is the formation of undesirable compounds such as glycidyl ester, 3-MCPD-esters, harmful trans-fatty acids.”
Refining Vegetable Oils: Chemical and Physical Refining
In other words, refining the oils strips the protective beneficial protectors while simultaneously creating damaging trans-fats and other unhealthy substances.
Things get way worse when you heat/cook with these oils too.
Lipid peroxidation: cellular nuclear fallout
Of this entire subject, there’s consensus that seed oils are unstable and extremely susceptible to damage.
This process goes by the name “lipid peroxidation”. PUFAs peroxidizing causes oxidative stress, inflammation, DNA damage, protein damage, mitochondrial dysfunction, and a whole lot more [R, R].
Effectively, this:
- Spikes energy requirements
- Impairs efficient energy use
- Reduces energy generation
Scientists consider it a major step leading to all kinds of chronic diseases [R].
In small doses, this process is entirely normal and your body can easily recover from it.
A brief history of seed oils
The modern consumption of these oils, however, far exceeds historical averages.
Examine average consumption of one particular easily oxidized oil, linoleic acid (LA), over time:
- 2 grams per day in 1865
- 5 grams per day in 1909
- 18 grams per day in 1999
- 29 grams per day in 2008
Linoleic acid consumption has increased by nearly 15-fold between 1865 to 2008 [R].
The average modern human consumes 1400% more LA, and that number has only increased since 2008 too.
The more you consume, the more you bioaccumulate in your skin and body. Your skin essentially becomes linoleic acid.
As dietary fat sources shifted more towards seed oils over the years, increase in LA in adipose tissues naturally spiked:
| Year 📅 | % of Linoleic Acid in Adipose Tissue 🧬 |
|---|---|
| 1960 | 9.9% |
| 1975 | 13% |
| 1996 | 17.57% |
| 2001 | 18% |
| 2008 | 23.4% |
But why does it even exist in nature?
PUFAs remain liquid at cold temperatures. Thus, they’re abundant in cold regions of the world and virtually non-existent anywhere warm.
Imagine if the fats inside fish, plants, or humans completely froze when it got cold. Even then, they’re most prevalent in the fall to protect against freezing. Since they cause transient insulin resistance, animals use fats high in linoleic acid (like nuts and seeds) to pack on weight and prepare for hibernation.
Perhaps you’re thinking… what about the Mediterranean diet?
Actually, it’s really a way of living that emphasizes fresh, local, whole foods and physical activity. They do eat a limited amount of nuts and seeds, but seasonally. Since introducing seed oils, their life expectation has dropped.
What exactly happens when these unstable oils break down?
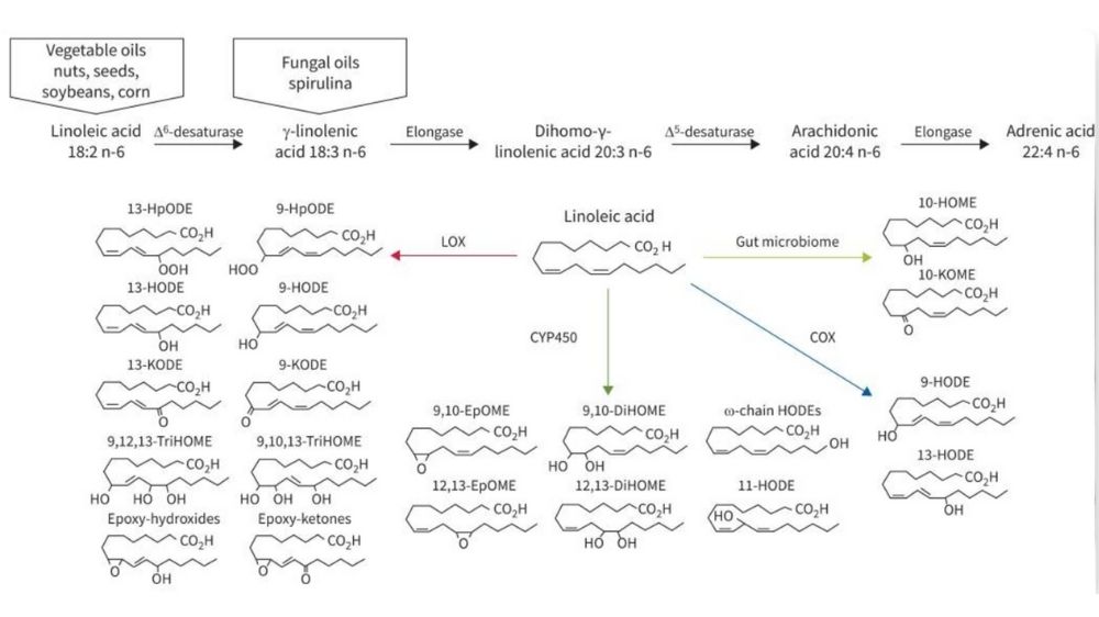
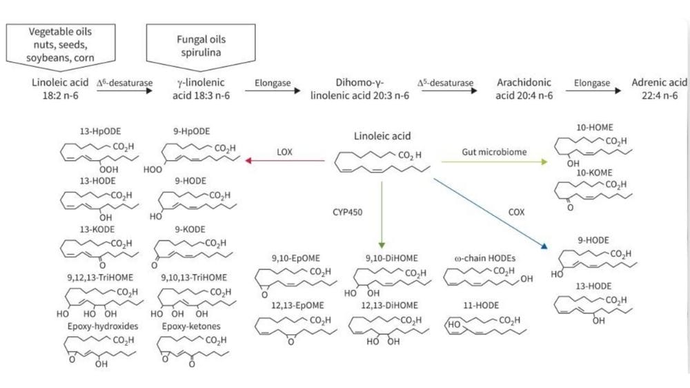
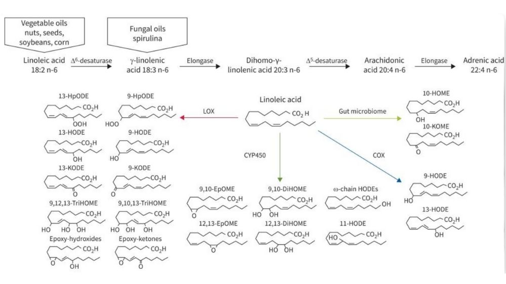
OXLAMs & common toxic substances within seeds oils

From the manufacturing process, cooking, and oxidation that inevitably occurs within your body, when you consume excess linoleic acid (dominant fatty acid in vegetable oils), many toxic oxidized linoleic acid metabolites (OXLAMs) form.
If you’ve heard that “consuming a serving of French fries has the same toxicity as smoking a pack of cigarettes,” it’s due to consuming these metabolites.
Here’s just a short list of the metabolites and byproducts of seed oils:
- 4-Hydroxynonenal (4-HNE): among the worst cytotoxins caused by oxidized oils, and is often used as a biomarker for oxidative stress
- 9-Hydroxy-octadecadienoic acid (9-HODE) & 13-Hydroxy-octadecadienoic acid (13-HODE): contribute to various health risks such as cardiovascular and neurodegenerative diseases, inflammation, pain, and skin aging. Associated with disease progression and exacerbates chronic conditions by affecting cellular responses and receptor activation
- Malondialdehyde (MDA): a mutagenic and carcinogenic compound. High levels in the body increase oxidative stress, contributing to chronic diseases like cancer and atherosclerosis
- Epoxides and Diols: can be reactive and potentially harmful, causing cellular damage and contributing to health problems like inflammation and cancer
- 9,10-Epoxy-octadecenoic acid: like other epoxides, these are reactive and can cause cellular damage
- Acrolein: highly toxic, acrolein is an irritant to the eyes, skin, and respiratory tract. It’s linked to increased risks of cardiovascular diseases and cancer.
- Crotonaldehyde: another irritant that can cause respiratory issues and is considered a likely carcinogen
- Hexanal: while the effects on health aren’t well known, its presence indicates oxidation
- Nonanal: like hexanal, it’s mainly a marker of oxidation
- 2,4-Decadienal: some studies suggest links to inflammation and other health issues
- 2,4-Heptadienal: similar to other aldehydes, it contributes to oxidative stress
- Heptanal and Octanal: less studied but may contribute to oxidative stress
- Propanal: generally considered less harmful than some larger aldehydes but still contributes to the overall oxidative stress burden
- 2-Pentenal: contributes to undesirable flavors and indicates oxidation
- 13-Oxooctadecadienoic acids (13-oxoODEs): involved in oxidative processes and contributes to inflammation and other negative health consequences
4-HNE alone is linked to the cause and progression of human disease [R].
Each of these is associated with oxidation. Some are directly quite toxic and harmful to human health.
Now, the most important part, let’s explore how these impact human health.
The Dangers of Seed Oils (PUFAs) on Human Health
Research suggests that PUFAs & their metabolites contribute to:
- Heart (cardiovascular) damage & disease [R, R, R, R, R, R, R, R, R, R]
- Arterial plaque & lesions [R, R, R]
- Energy insufficiency via lipid peroxidation of cardiolipin [R, R, R]
- Lower metabolic rate, reduced body temperature, and a hibernation state [R, R]
- Accelerated biological aging & shorter lifespan [R, R]
- Immune system suppression [R, R, R, R]
- Male infertility [R]
- Oxalate sensitivity (likely) [R]
- Lipogenesis (creation of new body fat) [R]
- Pediatric asthma symptoms [R]
- Estrogenic carcinogen [R, R]
- ASD symptoms [R]
- “Leaky” cell membranes & mitochondrial dysfunction [R, R, R, R, R, R]
- Biological stress [R, R]
- Liver disease (NAFLD, NASH) [R, R]
- Bone disease [R]
- Inflammation, as PUFAs can get converted into eicosanoids and other inflammatory compounds
- Lower cholesterol production by increasing oxidative stress [R, R]
- Neurotoxicity, hepatotoxicity, cardiotoxicity during fetal development [R]
- Obesity & diabetes [R, R]
- Neurodegenerative diseases [R, R]
According to Dr. Ray Peat’s work, PUFAs cause advanced glycation end products (AGEs) at a rate 23-fold more than glucose does [R].
But here’s the main issue…
Fat gets taken up into the phospholipid membrane, the mitochondrial membrane, a component of the inner mitochondrial membrane called cardiolipin, and various lipoproteins in the skin.
Excess PUFA intake even causes vital ions like potassium to leak out of cells [R]. Also increasing levels of free iron in the body.
This not only impairs mitochondrial function, but reduces overall cellular health. Cellular health is intricately linked to overall health.
Still not convinced?
The PUFA content of your cells is a major determinant of your aging and longevity [R].
Is the issue really ”just too many calories” (energy toxicity)?

Some influencers parrot that the dangers of seed oil are nothing more than the issue of consuming too many calories. Called energy toxicity.
This is silly, as different fats (actually, all foods) impact the body in different ways. They impact:
- Metabolic pathways
- Hormonal responses
- Overall physiological function
If you’ve used C8 MCT oil, for example, you probably feel a cognitive difference that you won’t get from sunflower oil.
Look at the back of any 1,200-calorie “mass gainer” protein powder and you’ll likely see particular mass-gaining fats. Not just because they’re cheaper, but they’re known to cause additional weight gain.
In fact, physicians prescribed these fats to induce weight gain since the 1950s.
If only energy matters, you’d expect to see no difference between foods cooked in stable versus unstable oils (controlling for calories, of course). Yet that’s not what happens. Take French fries, for example…
“Notwithstanding, it is important to note that reliable estimates of the amounts of ingestible aldehydes available in single, average-sized servings of fried potato chips are not too dissimilar to those derived from the smoking of a mean daily allocation of 25 cigarettes”
Adverse health effects of cigarette smoke: aldehydes Crotonaldehyde, butyraldehyde, hexanal and malonaldehyde
This extreme example shows that the health impact is dictated by more than “just calories”. We have to be smarter about our diet and nutrition.
Returning to Ancestral Wisdom
Humans have consumed diets rich in fat throughout history.
Canola, safflower, cottonseed, and other seed oils were simply not available until the last hundred years or so.
So, why are cardiovascular and other degenerative diseases rising exponentially among the biggest consumers of “heart healthy” seed oils? Share on XPrevious generations only had “unhealthy” saturated fats available to them.
Of course, modern living has changed beyond comparison. But it’s extremely unlikely that these new fats are saving us.
Instead, I’ve reverted to the traditional oils. My fat intake largely consists of stable fats like:
- Butter
- Ghee
- Tallow
- Coconut oil
- Olive oil
There are also many other safe and healthy fats you can consume or use in a pinch if these are not available.
Simply using healthier alternatives to seed oils is already a great biohack for women. It’s a big upgrade to your nutrition and eliminates one of the hidden culprits of unhealthy diets.
Isn’t olive oil a vegetable oil?
Although technically a vegetable oil, I still consume olive oil.
Quality olive oil is much lower in linoleic acid, higher in the more stable oleic acid, and contains a plethora of polyphenols and other bioactive substances.
Some anti-seed oil researchers still recommend against olive oil, especially for those high in oxidative stress. This is one area where genetics likely play a major role.
Influencers & resources of the anti-seed oil movement
To explore this topic more, there are tons of awesome anti-seed oil resources.
Some of the ones I’ve come across include:
- Jay Feldman
- Tucker Goodrich
- Dr. Cate Shanahan
- Ray Peat
- Seed Oil Rebellion
- Brad Marshall
- Petro Dobromylskyj
- Georgi Dinkov
- Dr. Chris Knobbe
- Dr. Ralph Holman
- Dr. Tom Brenna
- Dr. Christopher Ramsden
- Dr. Brian Kerley
- Dr. Anthony Gustin
- Dr. Paul Mason
- Zero Acre Farms
- Dr. Tetsumori Yamashima
- Dr. Bill Lands
- Dr. Ted Naiman
- George Henderson
- Dr. Paul Saladino
If you come across others, please let me know in the comments.
How to avoid unhealthy seed oils

Today, you cannot totally avoid seed oils. They’re in just about all foods. Including meat.
Chickens fed vegetarian diets accumulate oxidized seed oils in their eggs and meat.
So the process to reduce seed oil consumption include:
- Rid your kitchen of all the Hateful Eight
- Replace with stable fats like butter, ghee, avocado oil, tallow, & olive oil
- Choose ruminant meats as they saturate and stabilize PUFAs
- Pick pasture-raised eggs fed a normal (non-vegetarian) diet
- Protect yourself with vitamin E, spirulina & chlorella, astaxanthin, enzymes, and other fat-stabilizing antioxidants [R]
Experts generally recommend consuming 0.6mg of vitamin E per 1 gram of linoleic acid [R].
It’s not just what you’re currently eating though. Exercise increases the release of PUFA in tissue.
If you’ve accumulated heavy metals in your fat tissue, those will oxidize PUFAs too.
The greater your stress load, the more these unstable fats breakdown.
Seed Oil Related Questions & Answers
What about expeller-pressed vegetable oil?
Grocers and more expensive oils tout “expeller-pressed” on the label. That simply means the manufacturer used mechanical extraction instead of solvents. Then, the subsequent steps are still the usual solvent extraction with hexane (which is a fat-soluble chemical). Fat soluble chemicals are extremely difficult to remove from oils (which are fats).
After extraction, expeller-pressed oil still gets refined, bleached and deodorized. This includes organic, cold processed, expeller-pressed vegetable oils.
The whole process results in oil full of toxic byproducts that damage the body.
Don’t seed oils contain natural antioxidants?
Some proponents of seed oils claim that they contain natural antioxidants (vitamin E) that protect against lipid peroxidation.
While true, vitamin E breaks down during the processing of vegetable oils. High temperatures degrade not only vitamin E, but other naturally occurring antioxidants.
The extent of the breakdown depends on the specific processing methods used, such as bleaching, deodorizing, and hydrogenation.
Plus, the amount is trivial compared to the dose needed to offset the damage.
Isn’t it just carbs making people fatter?
Carbohydrates have become public enemy #1 as the world gets increasingly obese. But this isn’t completely true. Clean carbohydrates are not causing the obesity epidemic.
Gluten intolerance has caused the global intake of carbohydrates to decrease relative to other macronutrients.
It’s more likely the result of highly palatable foods containing refined unstable fats, food chemicals, and industrial oils.
Is reducing LDL always good?
Epidemiological evidence presumes seed oils are healthy. Studies are conducted through the lens of how could this be beneficial?
At first glance, the effect of PUFAs on cholesterol seems beneficial. But context matters.
What if I told you that high-dose radiation lowers cholesterol. Few people would consider that beneficial.
Similarly, PUFAs lower cholesterol levels through an unhealthy mechanism. They initiate a cascade of events leading to alteration of apolipoprotein B (apoB) in LDL, transforming it into oxidized LDL (oxLDL) [R, R].
OxLDL isn’t recognized by LDL receptors in the liver but is instead taken up by macrophages via scavenger receptors, leading to the formation of foam cells [R].
Foam cells accumulate in the arterial walls and ultimately contribute to the development of atherosclerotic plaques in blood vessels [R, R, R].
Essentially, what happens when consuming seed oils is your standard blood labs of LDL (LDL-c & LDL-p) reduce as oxLDL rises. Oxidized LDL is MUCH more directly associated with adverse cardiovascular outcomes than normal LDL.
To understand this better, check out the paper titled, Omega-6 vegetable oils as a driver of coronary heart disease: the oxidized linoleic acid hypothesis [R].
Besides, it’s clinical outcomes that really matter. Do you really care if LDL is low but you still have a heart attack? Or would you rather have high cholesterol but never suffer any adverse events?
Why do some studies show benefits from diets rich in seed oils?
Many studies show that seed oils have health benefits. How could that be?
First, today you simply won’t find long-term data on sizable populations that haven’t consumed seed oil. The effect is cumulative, so it’s extremely difficult to study.
Second, PUFAs lend themselves to overconsumption. Linoleic acid (and other omega-6 fatty acids) is a precursor for the synthesis of endocannabinoids (like anandamide).
This activates the same CB1 receptors that cause the hallmark “munchies” side effect of cannabis usage [R]. Epidemiological research is not the same as a highly controlled metabolic ward where every calorie consumed is monitored.
Seed oil proponents generally also ignore animal and mechanistic studies, focusing exclusively on randomized controlled trials.
Many of these RCTs do not look at a comprehensive assortment of biomarkers to determine net health effects.
Nor do they follow participants long enough to observe negative effects. The long-term metabolic effects, mostly due to oxidative stress and inflammation, aren’t adequately captured in those studies.
Nutrition research has favored calorie-centric views and industry-friendly conclusions.
The types of fats being compared, how they’re metabolized, and the conditions under which studies are performed dramatically alter results.
It takes TONS of training and hard work to understand the flaws. I mostly rely on the work of others to understand this complicated landscape.
Similar to big tobacco, this industry has successfully confused consumers.
Seed Oils: Are These Vegetable Oils Safe?
Nutrition has certainly become one of the most controversial facets of optimal human health.
The world can’t even agree on the importance of any of the three main macronutrients!
A tribe somewhere vilifies every food and drink. At the same time, a different tribe reveres the same thing.
Seed oils have two main issues: the nature of the oils themselves, and the harsh way they’re processed.
Dr. Cate Shanahan recommends avoiding what she termed the “Hateful 8” seed oils:
- Canola or rapeseed oil
- Safflower oil
- Corn oil
- Cottonseed oil
- Soy or soybean oil
- Rice bran oil
- Sunflower oil
- Grapeseed oil
It’s true that humans need omega-6 fatty acids to survive. But it’s virtually impossible to not get enough. No one dies from omega-6 deficiency.
Excess consumption of omega-6 (and linoleic acid), on the other hand, is extremely damaging.
Each time you consume PUFAs, they get incorporated as structural components in your phospholipid cell membrane, mitochondrial membrane, cardiolipin, and lipoproteins in your skin. Since they contain double bonds, they’re extremely weak… Share on XScience repeatedly shows the negative impact. For example, the PUFA levels of your cells majorly determine your rate of aging and longevity [R].
Overall, they:
- Reduce energy production
- Increase energy requirements
- Impair efficient energy usage
Causing a body-wide energy shortage and all kinds of consequences. Eventually, contributing to major degenerative diseases.
Dr. Ray Peat warned of this for decades. His BioEnergetic diet also shares what to consume instead.
If you remove seed oils today, they’ll still take about 6-7 years to clear your body.
You can get started by consuming primarily more stable fats like:
- Butter
- Ghee
- Tallow
- Coconut oil
- Avocado oil
- Olive oil
Plus, replacing industrial seed oils is just one of the many ways to bioharmonize and improve your health significantly.
As with every substance, the dose of PUFAs makes the poison. Avoid it the best you can, and you’ll still get way more than optimal.
What’s your experience with these seed oils? If you use them, drop a comment below and let me know why!
If you found this article helpful, please send it to a friend or share it on social media. This article took dozens of hours to research and write. By sharing it, I’ll know what topics matter to you.
Thanks!




I have heard this information before and would definitely agree. It is really hard to find salad dressings that do not contain oils. I tried some from Fully Raw Kristina but I cannot digest the cashews or other nuts she uses. I really need to find a list of salad dressings without oils.
You’re right! It’s quite difficult. I’m currently traveling, without access to my normal grocers. The places around here have very few options. Usually, they boldly advertise on the front label if they use avocado oil instead. If I’m unsure, I just quickly flip the label around and scan the first few ingredients listed in ‘Other Ingredients’ section. Usually, seed oils will be one of the first.
Also, if you must grab a dressing/sauce, and don’t have any seed-oil-free options, you can also choose the one lowest in fat. Assuming all else equal (ie serving size), the fewer grams of fat listed on the label, the lower your potential dose of seed oils.